Reinforcement Learning_P3
Critic
那上一次 RL 的部分,我们讲说我们要 Learn 一个 Actor,那这一次,我们要 Learn 另外一个东西,这个东西叫做 Critic
我会先解释 Critic 是什麽,然后我们再来讲说,这个 Critic 对 Learn Actor 这 个东西,有什麽样的帮助

Critic 它的工作是要来评估一个 Actor 的好坏,就你现在已经有一个 Actor,它的参数叫 θ,那 Critic 的工作就是,它要评估说如果这个 Actor,它看到某个样子的 Observation,看到某一个游戏画面,接下来它可能会得到多少的 Reward
那 Critic 有好多种不同的变形,有的 Critic 是只看游戏画面来判断,有的 Critic 是说采取某,看到某一个游戏画面,接下来又发现 Actor 採取某一个 Action,在这两者都具备的前提下,那接下来会得到多少 Reward

那这样讲,还是有点抽象,所以我们讲的更具体一点,我们直接介绍一个,我们等一下会真的被用上,你在作业裡面真的派得上用场的,这个 Critic 叫做 ==Value Function==,那这个 Value Function,我们这边用大写的 来表示
它的输入是 s,也就是现在游戏的状况,比如说游戏的画面,那这边要特别注意一下 V,它是有一个上标 θ 的

这个上标 θ 代表这个 V ,它观察的对象是 θ 这个 Actor,它观察的这个 Actor 它的参数是 θ,那这个 V ,就是一个 Function,它的输入是 S,那输出是一个 Scalar,这边用 来表示这一个 Scalar
那 Scalar这个数值的含义是,这一个 Actor θ,放在上标的这个 Actor θ,它如果看到 Observation S,如果看到输入的这个 S 的游戏画面,接下来它得到的,Discounted Cumulated Reward 是多少
这个的 Value Function 它的工作,就是要去估测说,对某一个 Actor 来说,如果现在它已经看到某一个游戏画面,那接下来会得到的,Discounted Cumulated Reward 应该是多少
当然 Discounted Cumulated Reward,你可以直接透过把游戏玩到底,就你看到你已经有了 Actor θ,那假设它看到这个 State s,那最后它到底会得到多少的这个 G' ,你就把这个游戏玩完你就知道了
但是这些这个 Value Function,它的能力就是它要未卜先知,未看先猜,游戏还没有玩完,只光看到 S 就要预测这个 Actor,它可以得到什麽样的表现,那这个就是 Value Function 要做的事情
举例来说,假设你给 Value Function 这一个游戏画面,它就要直接预测说,看到这个游戏画面,接下来应该会得到很高的 Cumulated Reward,为什麽,因为游戏,这个游戏画面裡面还有很多的外星人

假设你的这个 Actor 它很厉害,它是一个好的 Actor,它是能杀得了外星人的 Actor,那接下来它就会得到很多的 Reward
那像这个画面,这已经是游戏的中盘

游戏的残局,游戏快结束了,剩下的外星人没几隻了,那可以得到的 Reward 就比较少,那这些数值,你把整场游戏玩完你也会知道,但是 Value Function 想要做的事情,就是未卜先知,在游戏没玩完之前,就先猜应该会得到多少的,Discounted Cumulated Reward
那这边有一件要跟大家特别强调的事情是,这个 Value Function 是有一个上标 θ 的,这 个 Value Function,跟我们观察的 Actor 是有关係的,同样的 Observation,同样的游戏画面,不同的 Actor,它应该要得到不同的,Discounted Cumulated Reward
我刚才在举例子的时候我说,假设我们有一个好的 Actor,看到这个游戏画面会有高的 Value,看到这个游戏画面会有低的 Value,但是假设你的 Actor 其实很烂,它很容易被外星人杀死,那也许看到这个画面,它的 Value 也是低的,因为有一堆外星人,它随便动两下它就被杀死了,它根本得不到 Reward,这个烂的 Actor 在这个画面,它可能拿到的 V 也是低的,所以 Value Function 的数值,是跟观察的对象有关係的,好 这个是 Critic
How to estimate
Monte-Carlo (MC) based approach
那在讲 Critic 要怎麽被使 用,在 Reinforcement Learning 之前,我们来讲一下 Critic 是怎麽被训练出来的,那有两种常用的训练方法,第一种方法,是 Monte Carlo Based 的方法,这边缩写成 MC

如果是用 MC 的方法的话,你就把 Actor 拿去跟环境互动,互动很多轮,那 Actor 跟环境互动以后,Actor 去玩这个游戏以后,你就会得到一些游戏的记录
你就会发现说,那这个时候,你的 Value Function 就得到一笔训练资料,这笔训练资料告诉它说,如果看到 作为输入,它的输出,这个 应该要跟 G'a 越接近越好
那假设你今天 sample 到另外一个 Observation,看到另外一个游戏画面,把游戏玩完之后发现,得到的 Cumulated Reward 是 G'b,那这个时候,你的这个 Value Function ,输入 它就应该得到 ,那这个 就应该跟 G'b 越接近越好
那这个非常直觉,你就去观察 Actor,会得到的 Cumulated Reward,那观察完你就有训练资料,直接拿这些训练资料来训练 Value Function,好 这个 MC ,是一个很直觉的作法
Temporal-difference (TD) approach
接下来我们来看另外一个,没有那麽直觉的作法,这个作法叫做 Temporal-Difference Approach,缩写是 TD
那 Temporal-Difference Approach,它希望做到的事情是,不用玩完整场游戏,才能得到训练 Value 的资料,你**只要在某一个 Observation 的,看到 的时候,你的 Actor 执行了 At 得到 Reward rt,**然后接下来再看到 这样的游戏画面,光看到这样一笔资料,就能够训练 Vπ(S) 了,光看到这样子的资料,就可以拿来更新 Vπ(S) 的参数了
那如果光看这样一笔资料,就可以更新 Vπ(S) 的参数有什麽样的好处,它的好处是你想在 MC 裡面,你要玩完整场游戏,你才能得到一笔训练资料,那有的游戏其实很长,甚至有的游戏也许,它根本就没有不会结束,它永远它都一直继续下去,它永远都不会结束,那像这样子的游戏,你用 MC 就非常地不适合
那这个时候,你可能就希望採用 TD 的方法,好 那怎麽只看到这样子的资料,就拿来训练 Vπ(S)
这边举一个例子,我们先来看一下, 跟 它们之间的关係

我们说,就是看到 之后的 Cumulated Reward,所以 就是 以此类推
然后 就是 以此类推
那你发现说这两个 Vθ, 跟 ,它们之间是有关係的
你可以把它写成这样一个式子,把 乘上 γ 再加 rt,把 每一项都乘 γ 再加上 rt,就会变成,所以 跟 中间,有这样子的关係
我们现在,有这样一笔资料以后,我们就可以拿来训练我们的 Value Function,希望 Value Function 可以满足,这边我们所写的这个式子

那什麽意思,就假设我们现在有这样一笔资料,我们就把 St,代到 Value Function 裡面得到,我们有 代到 Value Function 裡面,得到 ,虽然我们不知道 是多少,我们也不知道 应该是多少,我们没有这两个东西的标准答案,但我们知道它们相减应该是多少
根据上面这一个式子,我们把 乘上 γ,然后再去减,把 减掉 γ 乘 ,应该要跟 rt 越接近越好,rt 在这边,我们是有蒐集到 rt 这一笔资料的
我们又知道,跟这个 之间的关係,所以我们知道 减掉 γ 乘上 ,应该跟 rt 越接近越好,所以你就有了这样子训练资料,输入,输入 ,它们都通过 Vθ,然后把它们相减,然后要跟 rt 越接近越好
那这个就是 TD 的方法
MC v.s. TD
这两个方法,其实你拿来计算同样的,观察到的结果,同样的资料,同样的 θ,你用 MC 跟 TD 来观察,你算出来的 Value Function,很有可能会是不一样的
那这边,就举一个例子,这个例子是这样子的,我们观察某一个 Actor,这个 Actor ,跟环境互动玩了某一个游戏八次,当然这边为了简化计算,我们假设这些游戏都非常简单,都一个回合,就到两个回合就结束了

-
所以那个 Actor 第一次玩游戏的时候,它先看到 这个画面,得到 Reware 0
-
接下来看到 这个画面,得到 Reware 0 游戏结束
-
接下来,这个有连续六场游戏,都是看到 这个画面,得到 Reward 1 就结束了
-
最后一场游戏,看到 这个画面,得到 Reward 0 就结束了
那我们这边,先无视 Actor,为了简化起见无视 Actor,我们也假设,γ 就等于 1,也就是没有做 Discount, 好 那这个 应该是多少, 应该是多少
我们知道 这个 ,它的意思就是这个看到 这一个画面,你 会得到的 Reward 的期望值,那 这个画面,我们在这八次游戏中,总共看到了八次,每次游戏都有看到 这个画面,看到 这个画面之后会得到多少 Reward
八次游戏裡面,有六次得到 1 分,两次得到 0 分,所以平均是 3/4 分没有问题,所以 就是 3/4,妥妥的没有争议
那 应该是多少,你觉得看到 ,接下来应该要得到多少 Reward ,根据这八笔训练资料,看到 接下来该得到多少 Reward
几乎没有其他答案,所有人都说是 0,好 多数同学都说是 0,0 是不是一个正确的答案,它既对也不对
其实还有另外一个可能的答案是 3/4,我看没有人写 3/4,等一下来解释,为什麽有可能算出 3/4,但 0 也是一个合理的答案,为什麽你会觉得是应该是 0 ,0 是用 Monte-Carlo 的想法得到的
为什麽是 0,因为我们看到 只有一次,看到 以后会得到多少 Reward,这是 0,看到 以后得到 Reward 0,再看到 得到 Reward 还是 0,所以 Cumulated Reward 就是 0,所以如果从 Monte-Carlo 的角度来看,我们看到 ,接下来算出来的 G 应该是多少,就是 0 ,所以 应该就是 0,妥妥的没问题,几乎所有同学都得到了正确答案
但如果你用 TD,你算出来的,可会是不一样的结果

因为 跟 中间,有这样子的一个关係,这个 应该要等于 加上 Reward,就是你在看到 之后得到 Reward,接下来进入 ,那这个 ,应该等于 加上这一个 Reward
所以按照这个想法, 是3/4,这个 r 是 0,但 应该是 3/4 对不对,按照 TD 的想法, 应该是 3/4
你可能会问说,那到底 Monte-Carlo 跟 TD,谁算出来是对的,都可以说是对的,它们只是背后的假设是不同的,对 Monte-Carlo 而言,它就是直接看我们观察到的资料, 之后接 得到的,Cumulated Reward 就是 0,所以 当然是 0
但对于 TD 而言,它背后的假设是这个 跟 是没有关係的,看到 之后再看到 ,并不会影响看到 的 Reward,你现在看这八笔训练资料,给你一种错觉,觉得说 应该是 0,那只是因为你 mple 到的资料太少了,看到 ,应该可以期望的 Reward 是 3/4,只是因为今天正好运气不好,看完 以后再看 ,正好 r 是 0,但是期望值应该是 3/4,你只是正好运气不好看到 r 是 0,你才会觉得 是 0
但是 ,看到 以后得到的期望 Reward 应该是 3/4,所以看到 以后你会看到 ,那你得到的这个期望的 Reward 也应该是 3/4,所以从 TD 的角度来看, 会得到多少 Reward,跟 是没有关係的
所以你应该,所以 的这个 Cumulated Reward 应该是 3/4
所以总之用 MC 来计算,用 TD 来计算,会有微妙的差异
Version 3.5
Critic 怎麽被用在训练 Actor 上面,还记不记得我们上一次,最后我们讲到这个 Actor 的方法的时候,我们说怎麽训练一个 Actor,你就先把 Actor 跟环境互动,得到一些 Reward,然后你得到一堆这个 Observation,跟这个 Action 的 Pair
这个在 s1 执行 A1 的时候多好,得到一个分数 A1,那我们说这个 A1 ,它是 Cumulative 的 Reward,那上週也有同学问到说,难道 Cumulative 的 Reward,不需要做 Normalization 吗,需要做 Normalization,所以我们说,这个减掉一个 b 当做 Normalization

但这个 b 的值应该设多少,就不好说,那我这边 告诉大家说,一个 V 合理的设法,是把它设成

你现在 Learn 出这个 Critic 以后,这个 Critic 给它一个 Step,它就会产生一个分数,那你把这个分数 当做 B,,所以 G1' 就是要减掉 Vθ(s1),G2' 就是减掉 Vθ(s2),以此类推
那再来的问题就是,为什麽减掉 V 是一个合理的选择,那我们在下一页投影片,来跟大家解释一下
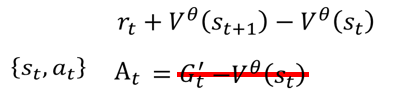
我们已经知道说这个 At 代表s,a 这个 Pair 有多好,我们是用 G' 减掉,来定义这个 A,好 那我们先来看一下这个,到底代表什麽意思

是看到某一个画面 St 以后,接下来会得到的 Reward
它其实是一个期望值,因为假设你今天看到同一个画面,接下来再继续玩游戏,游戏有随机性,你每次得到的 Reward 都不太一样的话,那 其实是一个期望值
那在这个时候,在看到 St 的时候,你的 Actor 不一定会执行At 这一个 Action
因为 Actor 本身是有随机性的,在训练的过程中,我们甚至鼓励 Actor 是有随机性的,所以同样的 S,你的 Actor ,它会输出的这个 Action 不一定是一样的
我们说 Actor 的输出其实是一个 Probability Distribution,是一个在这个 Action 的 space 上面的,Probability Distribution,它还给每一个 Action 一个分数,你按照这个分数去做sample,有些 Action 被sample 到的机率高,有些 Action 被sample 到的机率低,但每一次sample 出来的 Action,并不保证一定要是一样的,
所以看到 St 之后,接下来有很多的可能 很多的可能,所以你会算出不同的 Cumulative 的 Reward

那当然如果你有 Discount 的话,就是 Discounted 的 Cumulative Reward,那我们这边,是把 Discount 这件事情暂时省略掉,那把这些可能的结果平均起来,就是,这是 这一项的含义
那 Gt' 这一项的含义是什麽?
Gt' 这一项的含义是,在 St 这个位置 在 St 这个画面下,执行 At 以后,接下来会得到的 Cumulative Reward

所以你执行 At 以后,接下来 再一路玩下去,你会得到一个结果 得到一个 Reward,就是 Gt'
-
如果 At 大于 0 代表说,Gt' 大于,这个时候代表说,这个 Action 是比,我们 Random sample 到的 Action 还要好的,在这边得到 Gt' 的时候,我们确定是执行了 At,那在 St 在算这个 的时候,我们不确定我 们会执行哪一个 Action
所以我们执行 Action At 的时候,得到的 Reward大于随便执行一个 Action 得到的 Reward,所以当 At 大于 0 的时候代表说,At 大于随便执行的一个 Action,那这个时候这个 Action At 它就是好的,所以我们给它一个大于 0 的 At
-
如果 At 小于 0 代表说,这个平均的 Reward,大过执行 At 得到的 Reward,你随机採取的 Action,按照某一个 Distribution,sample 出来的 Action,得到的这个 Cumulative Reward 的期望值,大过採取 At 这个 Action 所得到的 Reward,那这个时候 At 就是坏的,所要给它负的大 At
所以这样就非常地直觉,为什麽我们应该把 Gt' 减掉,但讲到这边,你有没有觉得有一些地方有点违和,什麽地方有点违和,这个 Gt' 它是一个sample 的结果,它是执行 At 以后,一直玩玩玩 玩到游戏结束,某一个sample 出来的结果,而 是很多条路径 很多个可能性,平均以后的结果,我们把一个sample 去减掉平均,这样会准吗,也许这个sample 特别好或特别坏,我们为什麽不是拿平均去减掉平均
Version 4
所以我们这一门课要讲的最后一个版本,就是拿平均去减掉平均
我们执行完 At 以后 得到 Reward rt,然后跑到下一个画面 ,把这个 接下来一直玩下去,有很多不同的可能,每个可能通通会得到一个 Reward,把这些 Reward 平均起来

把 这些 Cumulative 的 Reward 平均起来,其实就是 ,本来你会需要玩很多场游戏,才能够得到这个平均值,
但没关係,假设你训练出一个好的 Critic,那你直接代 ,你就知道说,在 这个画面下,接下来会得到的,Cumulative Reward 的期望值应该多少
而接下来 你再加上 ,接下来再加上 ,代表说在 St 这个位置採取 at

跳到 以后,会得到的 Reward 的期望值,因为我们已经知道说,在 St 这边採取 at 会得到 Reward ,再跳到